Упр.5.26 ГДЗ Мордкович 9 класс (Алгебра)
Решение #1
Решение #2

Рассмотрим вариант решения задания из учебника Мордкович 9 класс, Мнемозина:
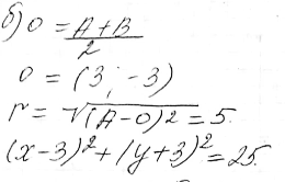
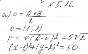
5.26. Составьте уравнение окружности, диаметром которой является отрезок АВ, если:
а) А(-4; 7), В(6; -3); б) А(-1; -6), В(7; 0).
Похожие решебники
Популярные решебники 9 класс Все решебники
*К сожалению, временные проблемы с публикацией комментариев с мобильных устройств.