Упр.5.28 ГДЗ Мордкович 9 класс (Алгебра)
Решение #1
Решение #2

Рассмотрим вариант решения задания из учебника Мордкович 9 класс, Мнемозина:
Постройте график уравнения:
5.28. а) (3х + у + 9)(5х + у - 5) = 0;
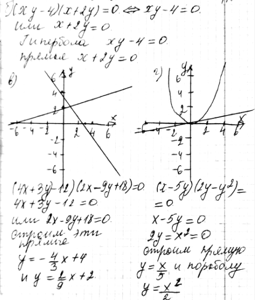
б) (ху - 4)(х + 2у) - 0;
в) (4х + 3у - 12)(2х - 9у + 18)=0;
г) (х - 5у)(2у - х2) = 0.
Похожие решебники
Популярные решебники 9 класс Все решебники
*К сожалению, временные проблемы с публикацией комментариев с мобильных устройств.