Упр.5.21 ГДЗ Мордкович 9 класс (Алгебра)
Решение #1
Решение #2

Рассмотрим вариант решения задания из учебника Мордкович 9 класс, Мнемозина:
5.21. Решите графически систему уравнений:
а) система
(x+1)2+(y+2)2=4,
y=0;
б) система
x=1,
(x-1)2+(y+2)2=9;
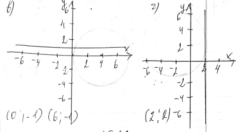
в) система
(x-3)2+(y+1)2=9,
y=-1;
г) система
(x+2)2+(y-2)2=16,
x=2.
Похожие решебники
Популярные решебники 9 класс Все решебники
*размещая тексты в комментариях ниже, вы автоматически соглашаетесь с пользовательским соглашением