Упр.5.31 ГДЗ Мордкович 9 класс (Алгебра)
Решение #1
Решение #2

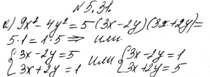
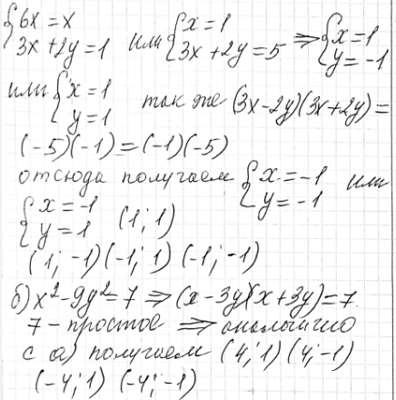
Рассмотрим вариант решения задания из учебника Мордкович 9 класс, Мнемозина:
5.31. а) 9х2 - 4у2 = 5;
б) х2 - 9у2 = 7.
Похожие решебники
Популярные решебники 9 класс Все решебники
*К сожалению, временные проблемы с публикацией комментариев с мобильных устройств.