Упр.2.17 ГДЗ Мордкович 9 класс (Алгебра)
Решение #1
Решение #2

Рассмотрим вариант решения задания из учебника Мордкович, Александрова 9 класс, Мнемозина:
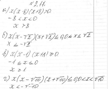
Решите неравенство;
2.17 а) х3 - 64х > 0;
б) х3 < = 2х;
в) х3 > = х;
г) х3 - 10х < 0.
Похожие решебники
Популярные решебники 9 класс Все решебники
*К сожалению, временные проблемы с публикацией комментариев с мобильных устройств.