Упр.2.15 ГДЗ Мордкович 9 класс (Алгебра)
Решение #1
Решение #2

Рассмотрим вариант решения задания из учебника Мордкович 9 класс, Мнемозина:
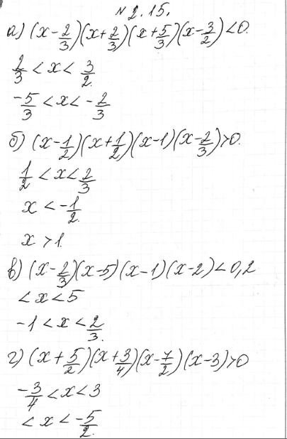
2.15. а) (2 - 3х)(3х + 2)(5 4- 3х)(2х - 3) > 0;
б) (2х + 1)(1 - 2х)(х - 1)(2 - 3х) > 0;
в) (3х - 2)(5 - х)(х + 1)(2 - х) < 0;
г) (2х + 5)(4х + 3)(7 - 2х)(х - 3) < 0.
Похожие решебники
Популярные решебники 9 класс Все решебники
*размещая тексты в комментариях ниже, вы автоматически соглашаетесь с пользовательским соглашением