Упр.2.13 ГДЗ Мордкович 9 класс (Алгебра)
Решение #1
Решение #2

Рассмотрим вариант решения задания из учебника Мордкович 9 класс, Мнемозина:
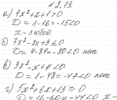
2.13. а) 4x2 + x+ 1 > 0;
б) 7х2 + 3 < = 2х;
в) 3x2 + 4 < х
г) 5х2 + 6x + 13 > = 0.
Похожие решебники
Популярные решебники 9 класс Все решебники
*размещая тексты в комментариях ниже, вы автоматически соглашаетесь с пользовательским соглашением