Упр.2.22 ГДЗ Мордкович 9 класс (Алгебра)
Решение #1
Решение #2

Рассмотрим вариант решения задания из учебника Мордкович, Александрова 9 класс, Мнемозина:
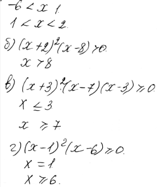
2.22. а) (х - 1)2(х2 + 4х - 12) < 0;
б) (х + 2)(хг - 6х - 16) > 0;
в) (х + 3)2(x2 - 10x + 21) > = 0;
г) (х - 1)(х2 - 7х + 6) > = 0.
Похожие решебники
Популярные решебники 9 класс Все решебники
*К сожалению, временные проблемы с публикацией комментариев с мобильных устройств.