Упр.17.29 ГДЗ Мордкович 9 класс (Алгебра)
Решение #1
Решение #2

Рассмотрим вариант решения задания из учебника Мордкович 9 класс, Мнемозина:
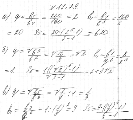
17.29. Найдите S5 для геометрической прогрессии если:
а) b4=160, b5=320;
б) b7=8, b9=16(q < 0);
в) b3=1, b5=1/9(q > 0);
г) b4=3 корень 3, b7=27.
Похожие решебники
Популярные решебники 9 класс Все решебники
*К сожалению, временные проблемы с публикацией комментариев с мобильных устройств.