Упр.17.27 ГДЗ Мордкович 9 класс (Алгебра)
Решение #1
Решение #2

Рассмотрим вариант решения задания из учебника Мордкович 9 класс, Мнемозина:
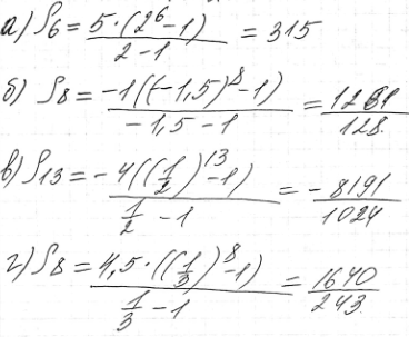
17.27. Для геометрической прогрессии (bn) найдите если:
а) b1 = 5, q = 2, n = 6;
б) b1 = -1, q = -1,5, n = 8;
в) b1 = -4, q = 1/2, n = 13;
г) b1 = 4,5, q = 1/3, n = 8.
Похожие решебники
Популярные решебники 9 класс Все решебники
*размещая тексты в комментариях ниже, вы автоматически соглашаетесь с пользовательским соглашением