Упр.17.31 ГДЗ Мордкович 9 класс (Алгебра)
Решение #1
Решение #2

Рассмотрим вариант решения задания из учебника Мордкович 9 класс, Мнемозина:
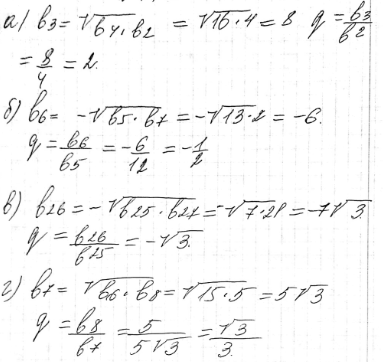
17.31. a) b2 = 4, b4 = 16. Найдите q и b3 (b3 > 0).
б) b5 = 12, b7 = 3. Найдите q и b6 (b6 < 0).
в) b25 = 7. b27= 21. Найдите q и b26 (b26 < 0).
г) b6 = 15, b8 = 5. Найдите q и b7 (b7 > 0).
Похожие решебники
Популярные решебники 9 класс Все решебники
*К сожалению, временные проблемы с публикацией комментариев с мобильных устройств.