Упр.796 ГДЗ Макарычев Миндюк 8 класс (Алгебра)
Решение #1 (Учебник 2024)
Решение #2 (Учебник 2019)
Решение #3 (Учебник 2024)

Рассмотрим вариант решения задания из учебника Макарычев, Миндюк, Нешков 8 класс, Просвещение:
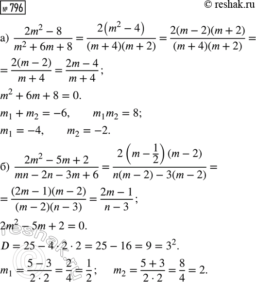
Сократите дробь:
а) (2m^2 - 8)/(m^2 + 6m + 8);
б) (2m^2 - 5m + 2)/(mn - 2n - 3m + 6).
Сравнивая с нулём значения выражений, ученик получил следующие результаты:
1. 3 корень 2 - корень 7 > 0
2. 6 корень 3 - 3 корень 6 > 0
3. 4 корень 7-9 корень 2<0
4. 7 корень 11 - 6 корень 12 < 0
При этом он допустил ошибку. Найдите её и исправьте.
Похожие решебники
Популярные решебники 8 класс Все решебники
*К сожалению, временные проблемы с публикацией комментариев с мобильных устройств.