Упр.797 ГДЗ Макарычев Миндюк 8 класс (Алгебра)
Решение #1 (Учебник 2024)
Решение #2 (Учебник 2019)
Решение #3 (Учебник 2024)

Рассмотрим вариант решения задания из учебника Макарычев, Миндюк, Нешков 8 класс, Просвещение:
Выполните действие:
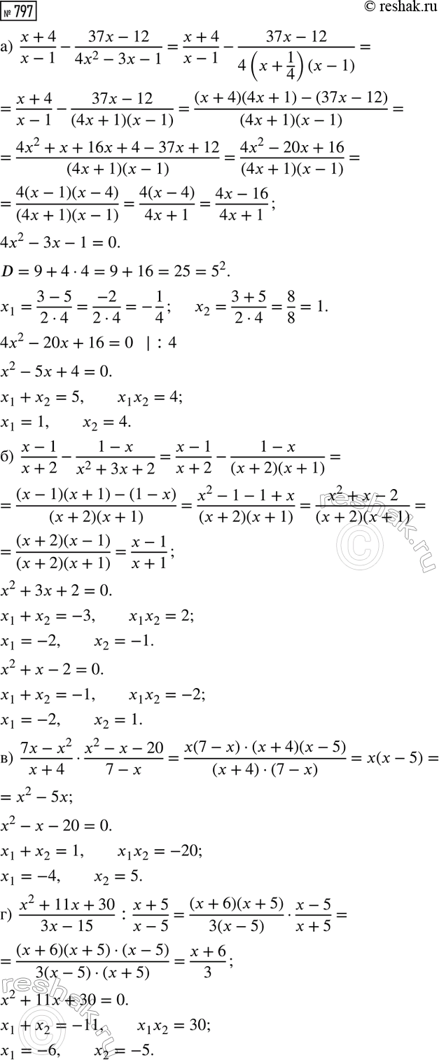
а) (x + 4)/(x - 1) - (37x - 12)/(4x^2 - 3x - 1);
б) (x - 1)/(x + 2) - (1 - x)/(x^2 + 3x + 2);
в) (7x - x^2)/(x + 4) · (x^2 - x - 20)/(7 - x);
г) (x^2 + 11x + 30)/(3x - 15) : (x + 5)/(x - 5);
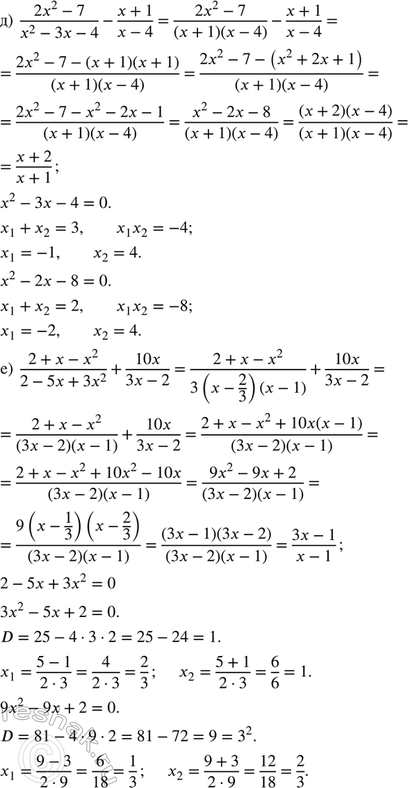
д) (2x^2 - 7)/(x^2 - 3x - 4) - (x + 1)/(x - 4);
е) (2 + x - x^2)/(2 - 5x + 3x^2) + 10x/(3x - 2).
Докажите неравенство:
а) 6а (а +1) < (3а + 1) (2а + 1) + а;
б) (2р - 1)(2р + 1) + 3(р + 1) > (4р + 3) р.
Похожие решебники
Популярные решебники 8 класс Все решебники
*К сожалению, временные проблемы с публикацией комментариев с мобильных устройств.