Упр.707 ГДЗ Макарычев Миндюк 8 класс (Алгебра)
Решение #1 (Учебник 2024)
Решение #2 (Учебник 2019)
Решение #3 (Учебник 2019)
Решение #4 (Учебник 2019)

Рассмотрим вариант решения задания из учебника Макарычев, Миндюк, Нешков 8 класс, Просвещение:
Решите систему уравнений, используя способ сложения или подстановки:
а) {2x^2 + y^2 = 9, x^2 - y^2 = 3;
б) {2x^2 - xy = 33, 4x - y = 17;
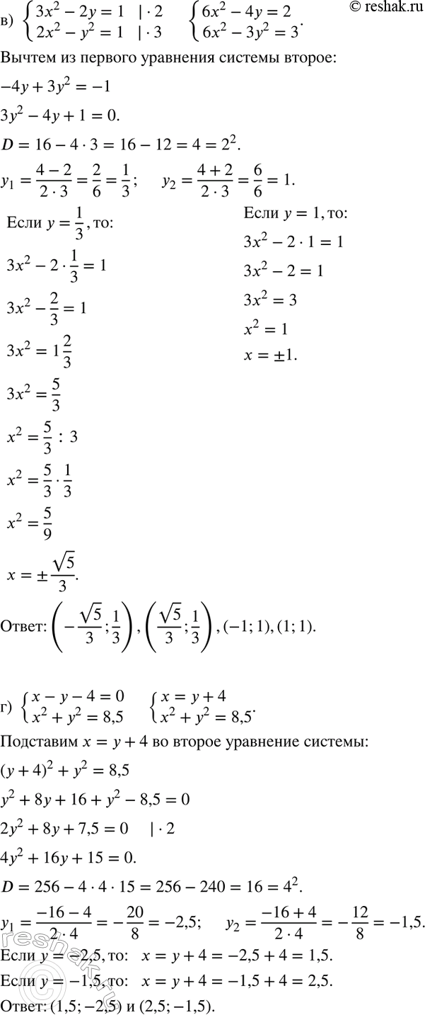
в) {3x^2 - 2y = 1, 2x^2 - y^2 = 1;
г) {x - y - 4 = 0, x^2 + y^2 = 8,5;
д) {x^2 + 4y = 10, x - 2y = -5;
е) {x - 2y + 1 = 0, 5xy + y^2 = 16.
Теплоход отправился от пристани А до пристани В, расстояние между которыми 225 км. Через 1,5 ч после отправления он был задержан на 1/2 ч и, чтобы прийти в пункт назначения вовремя, увеличил скорость на 10 км/ч. Найдите первоначальную скорость теплохода.
Похожие решебники
Популярные решебники 8 класс Все решебники
*К сожалению, временные проблемы с публикацией комментариев с мобильных устройств.