Упр.701 ГДЗ Макарычев Миндюк 8 класс (Алгебра)
Решение #1 (Учебник 2024)
Решение #2 (Учебник 2019)
Решение #3 (Учебник 2019)
Решение #4 (Учебник 2019)

Рассмотрим вариант решения задания из учебника Макарычев, Миндюк, Нешков 8 класс, Просвещение:
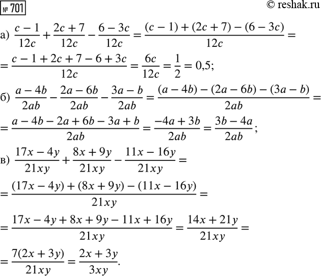
Упростите выражение:
а) (c - 1)/12c + (2c + 7)/12c - (6 - 3c)/12c;
б) (a - 4b)/2ab - (2a - 6b)/2ab - (3a - b)/2ab;
в) (17x - 4y)/21xy + (8x + 9y)/21xy - (11x - 16y)/21xy.
Расстояние от А до В, равное 400 км, поезд прошёл с некоторой постоянной скоростью;2/5 обратного пути из В в А он шёл с той же скоростью, а потом уменьшил скорость на 20 км/ч. Найдите скорость поезда на последнем участке, если на всю дорогу было затрачено 11 ч.
Похожие решебники
Популярные решебники 8 класс Все решебники
*К сожалению, временные проблемы с публикацией комментариев с мобильных устройств.