Упр.695 ГДЗ Макарычев Миндюк 8 класс (Алгебра)
Решение #1 (Учебник 2024)
Решение #2 (Учебник 2019)
Решение #3 (Учебник 2024)

Рассмотрим вариант решения задания из учебника Макарычев, Миндюк, Нешков 8 класс, Просвещение:
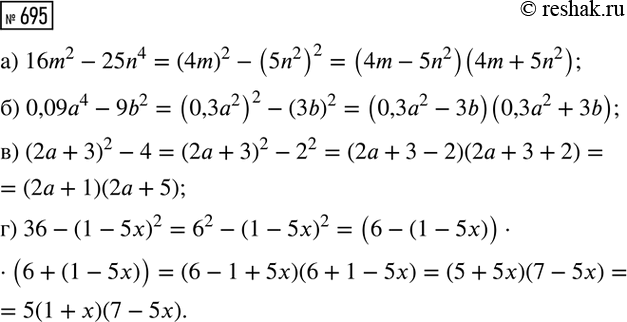
Разложите на множители:
а) 16m^2 - 25n^4; в) (2а + 3)^2 - 4;
б) 0,09а^4 - 9b^2; г) 36 - (1 - 5x)^2.
Найдите корни уравнения
Похожие решебники
Популярные решебники 8 класс Все решебники
*К сожалению, временные проблемы с публикацией комментариев с мобильных устройств.