Упр.486 ГДЗ Макарычев Миндюк 8 класс (Алгебра)
Решение #1 (Учебник 2024)
Решение #2 (Учебник 2024)
Решение #3 (Учебник 2019)
Решение #4 (Учебник 2019)

Рассмотрим вариант решения задания из учебника Макарычев, Миндюк, Нешков 8 класс, Просвещение:
Выполните умножение:
а) корень x(корень a- корень b);
б) (корень x+корень y) корень x;
в) корень ab(корень a +корень b);
г) (корень m - корень n) корень mn;
д) (корень x + корень y)(2 корень x - корень y);
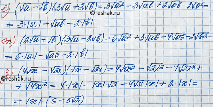
е) (корень a - корень b) (3 корень a + 2 корень b);
ж) (2 корень a + корень b) (3 корень a - 2 корень b);
з) (4 корень x - 2x) (корень x- корень 2x).
Постройте график функции y= корень |x|.
Похожие решебники
Популярные решебники 8 класс Все решебники
*К сожалению, временные проблемы с публикацией комментариев с мобильных устройств.