Упр.484 ГДЗ Макарычев Миндюк 8 класс (Алгебра)
Решение #1 (Учебник 2024)
Решение #2 (Учебник 2024)
Решение #3 (Учебник 2024)
Решение #4 (Учебник 2019)
Решение #5 (Учебник 2019)

Рассмотрим вариант решения задания из учебника Макарычев, Миндюк, Нешков 8 класс, Просвещение:
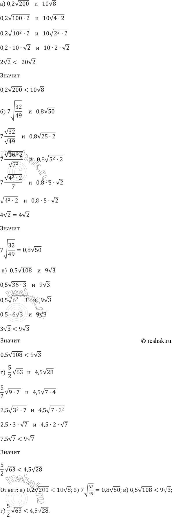
Сравните числа:
а) 0,2 корень 200 и 10 корень 8;
б) 7 корень 32/49 и 0,8 корень 50;
в) 0,5 корень 108 и 9 корень 3;
г) 5/2 корень 263 и 4,5 корень 28.
При каких значениях переменной верно равенство:
а) корень y4 = y2;
б) корень x12 = x6;
в) корень x6 = x3;
г) корень c10 = -c5;
д) корень a14 = -a7;
е) корень b8 = b4?
Похожие решебники
Популярные решебники 8 класс Все решебники
*К сожалению, временные проблемы с публикацией комментариев с мобильных устройств.