Упр.388 ГДЗ Макарычев Миндюк 8 класс (Алгебра)
Решение #1 (Учебник 2024)
Решение #2 (Учебник 2024)
Решение #3 (Учебник 2019)
Решение #4 (Учебник 2019)

Рассмотрим вариант решения задания из учебника Макарычев, Миндюк, Нешков 8 класс, Просвещение:
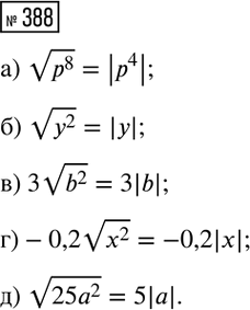
Замените выражение тождественно равным:
а) v(p^8);
б) v(y^2);
в) 3v(b^2);
г) -0,2v(x^2);
д) v(25a^2).
Значение выражения корень 2 * корень 3 с помощью калькулятора можно вычислить двумя способами: найти значения 72 и 7з и результаты перемножить или заменить произведение корень 2 * корент 3 выражением Ткорень 6 и затем найти его значение. Каким из этих способов удобнее пользоваться? Выполните вычисления.
Похожие решебники
Популярные решебники 8 класс Все решебники
*размещая тексты в комментариях ниже, вы автоматически соглашаетесь с пользовательским соглашением