Упр.385 ГДЗ Макарычев Миндюк 8 класс (Алгебра)
Решение #1 (Учебник 2024)
Решение #2 (Учебник 2024)
Решение #3 (Учебник 2024)
Решение #4 (Учебник 2019)
Решение #5 (Учебник 2019)

Рассмотрим вариант решения задания из учебника Макарычев, Миндюк, Нешков 8 класс, Просвещение:
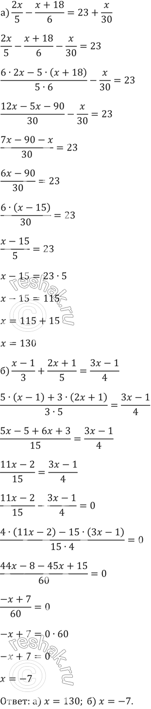
Решите уравнение:
Найдите значение произведения:
а) корень 2 * корень 8;
б) Vкорень 27 * корень 3;
в) корень 28 * корень 7;
г) корень 2 * корень 32;
Д) корень 13 * корень 52;
е) корень 63 * корень 7;
ж) корень 50 * корень 4,5;
з) корень 1,2 * корень 3*1/3.
Похожие решебники
Популярные решебники 8 класс Все решебники
*размещая тексты в комментариях ниже, вы автоматически соглашаетесь с пользовательским соглашением