Упр.394 ГДЗ Макарычев Миндюк 8 класс (Алгебра)
Решение #1 (Учебник 2024)
Решение #2 (Учебник 2024)
Решение #3 (Учебник 2019)
Решение #4 (Учебник 2019)
Решение #5 (Учебник 2019)

Рассмотрим вариант решения задания из учебника Макарычев, Миндюк, Нешков 8 класс, Просвещение:
Найдите значение корня:
a) корень 2^4;
б) корень 3^4;
в) корень 2^6
г) корень 10^8;
д) корень (-5)4;
е) корень (-2)8;
ж) корень (3^4* 5^2);
з) корень (2^6*7^4).
Найдите значение выражения:
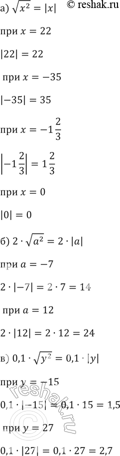
а) корень x2 при x = 22; -35; -1*2/3; 0;
б) 2 корень a2 при а = -7; 12;
в) 0,1 корень y2 при у = -15; 27.
Похожие решебники
Популярные решебники 8 класс Все решебники
*размещая тексты в комментариях ниже, вы автоматически соглашаетесь с пользовательским соглашением