Упр.307 ГДЗ Макарычев Миндюк 8 класс (Алгебра)
Решение #1 (Учебник 2024)
Решение #2 (Учебник 2019)
Решение #3 (Учебник 2024)

Рассмотрим вариант решения задания из учебника Макарычев, Миндюк, Нешков 8 класс, Просвещение:
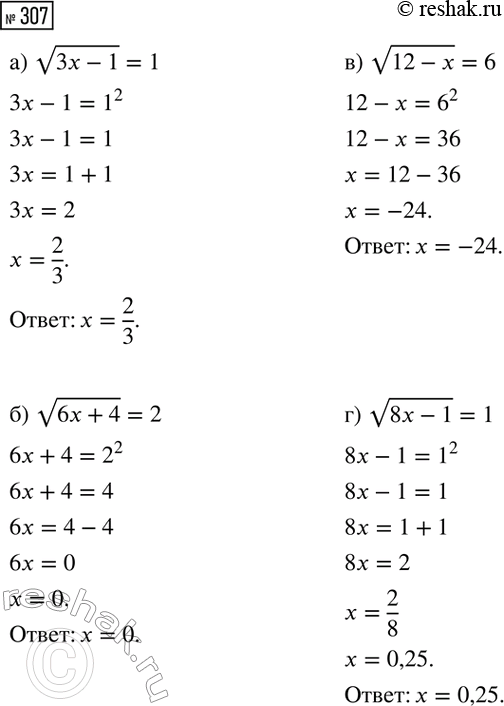
Решите уравнение:
а) v(3x - 1) = 1;
б) v(6x + 4) = 2;
в) v(12 - x) = 6;
г) v(8x - 1) = 1.
Укажите натуральные значения n, при которых является натуральным числом значение выражения: a) корень (11 - n); б) корень (25 - n).
Похожие решебники
Популярные решебники 8 класс Все решебники
*К сожалению, временные проблемы с публикацией комментариев с мобильных устройств.