Упр.310 ГДЗ Макарычев Миндюк 8 класс (Алгебра)
Решение #1 (Учебник 2024)
Решение #2 (Учебник 2019)
Решение #3 (Учебник 2019)

Рассмотрим вариант решения задания из учебника Макарычев, Миндюк, Нешков 8 класс, Просвещение:
Найдите:
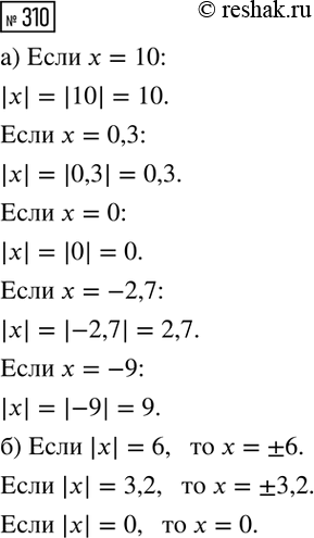
а) |х|, если х = 10; 0,3; 0; -2,7; -9;
б) х, если |x| = 6; 3,2; 0.
Найдите число, арифметический квадратный корень из которого равен 0; 1; 3; 10; 0,6.
Похожие решебники
Популярные решебники 8 класс Все решебники
*размещая тексты в комментариях ниже, вы автоматически соглашаетесь с пользовательским соглашением