Упр.309 ГДЗ Макарычев Миндюк 8 класс (Алгебра)
Решение #1 (Учебник 2024)
Решение #2 (Учебник 2024)
Решение #3 (Учебник 2024)
Решение #4 (Учебник 2019)
Решение #5 (Учебник 2019)

Рассмотрим вариант решения задания из учебника Макарычев, Миндюк, Нешков 8 класс, Просвещение:
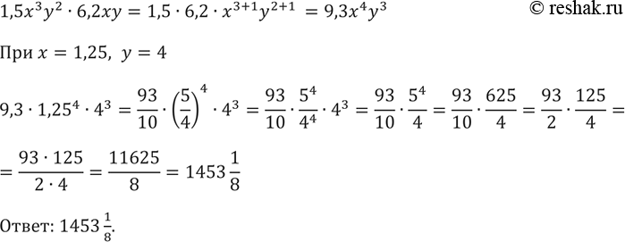
Найдите значение выражения 1,5x3y2*6,2ху, если х= 1,25, у = 4.
Имеет ли смысл выражение:
а) корень 100;
б) корень -100;
в) - корень 100;
г) корень (-10)2;
д) корень (-25) * (-4);
е) корень -25 * 4?
Похожие решебники
Популярные решебники 8 класс Все решебники
*К сожалению, временные проблемы с публикацией комментариев с мобильных устройств.