Упр.1302 ГДЗ Макарычев Миндюк 8 класс (Алгебра)
Решение #1 (Учебник 2024)
Решение #2 (Учебник 2024)
Решение #3 (Учебник 2024)

Рассмотрим вариант решения задания из учебника Макарычев, Миндюк, Нешков 8 класс, Просвещение:
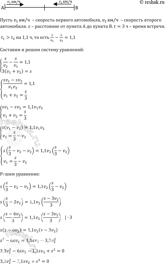
Из А в В и из В в А выехали одновременно два автомобиля и встретились через 3 ч. Первый автомобиль пришёл в В на 1,1 ч позже, чем второй в А. Во сколько раз скорость второго автомобиля больше скорости первого?
Похожие решебники
Популярные решебники 8 класс Все решебники
*размещая тексты в комментариях ниже, вы автоматически соглашаетесь с пользовательским соглашением