Упр.1068 ГДЗ Макарычев Миндюк 8 класс (Алгебра)
Решение #1 (Учебник 2024)
Решение #2 (Учебник 2019)
Решение #3 (Учебник 2024)

Рассмотрим вариант решения задания из учебника Макарычев, Миндюк, Нешков 8 класс, Просвещение:
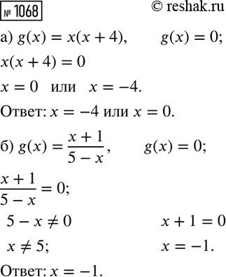
Найдите значения x, при которых g(x) = 0, если:
а) g(x) = x(x + 4); б) g(x) = (x + 1)/(5 - x).
Известно, что точки А (a;1/2601) и B (0,0625; b) принадлежат
графику функции у = х^-2. Найдите а и b.
Похожие решебники
Популярные решебники 8 класс Все решебники
*К сожалению, временные проблемы с публикацией комментариев с мобильных устройств.