Упр.1067 ГДЗ Макарычев Миндюк 8 класс (Алгебра)
Решение #1 (Учебник 2024)
Решение #2 (Учебник 2019)
Решение #3 (Учебник 2019)
Решение #4 (Учебник 2019)

Рассмотрим вариант решения задания из учебника Макарычев, Миндюк, Нешков 8 класс, Просвещение:
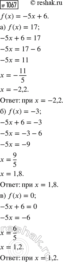
Известно, что f(x) = -5x + 6. Найдите значение x, при котором:
а) f(x) = 17; б) f(x) = -3; в) f(x) = 0.
] Постройте в одной системе координат графики функций у = х^-1, где х > 0, и у = х^-2, где х > 0. Сравните значения х^-1 и х^-2, если:
а) 0 < х < 1; б) х > 1.
Похожие решебники
Популярные решебники 8 класс Все решебники
*К сожалению, временные проблемы с публикацией комментариев с мобильных устройств.