Упр.1065 ГДЗ Макарычев Миндюк 8 класс (Алгебра)
Решение #1 (Учебник 2024)
Решение #2 (Учебник 2019)
Решение #3 (Учебник 2019)
Решение #4 (Учебник 2019)

Рассмотрим вариант решения задания из учебника Макарычев, Миндюк, Нешков 8 класс, Просвещение:
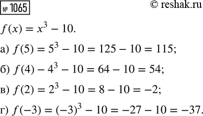
Известно, что f(x) = x^3 - 10. Найдите:
а) f(5); б) f(4); в) f(2); г) f(-3).
Постройте график функции
y= система
х, если х < О,
x^-1, если х > 0.
Найдите:
а) значение у, если х = -2; 2;
б) значение х, при котором у = -4; 4.
Похожие решебники
Популярные решебники 8 класс Все решебники
*К сожалению, временные проблемы с публикацией комментариев с мобильных устройств.