Упр.1064 ГДЗ Макарычев Миндюк 8 класс (Алгебра)
Решение #1 (Учебник 2024)
Решение #2 (Учебник 2019)
Решение #3 (Учебник 2024)

Рассмотрим вариант решения задания из учебника Макарычев, Миндюк, Нешков 8 класс, Просвещение:
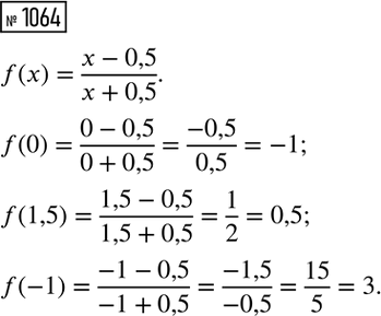
Найдите f(0), f(1,5) и f(-1), если f(x) = (x - 0,5)/(x + 0,5).
Докажите, что прямая у = -х + l, где l — некоторое положительное число, и гипербола у = х^-1:
а) имеют две общие точки, если l > 2;
б) имеют одну общую точку, если l = 2;
в) не имеют общих точек, если l < 2.
Похожие решебники
Популярные решебники 8 класс Все решебники
*К сожалению, временные проблемы с публикацией комментариев с мобильных устройств.