№408 ГДЗ Рымкевич 10-11 класс (Физика)
Решение #1
Решение #2
Решение #3

Рассмотрим вариант решения задания из учебника Рымкевич 10-11 класс, Дрофа:
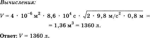
В водопроводной трубе образовалось отверстие сечением 4 мм2, из которого бьет вертикально вверх струя воды, поднимаясь на высоту 80 см. Какова утечка воды за сутки?
Популярные решебники 10-11 класс Все решебники
*размещая тексты в комментариях ниже, вы автоматически соглашаетесь с пользовательским соглашением