№234 ГДЗ Рымкевич 10-11 класс (Физика)
Решение #1
Решение #2
Решение #3

Рассмотрим вариант решения задания из учебника Рымкевич 10-11 класс, Дрофа:
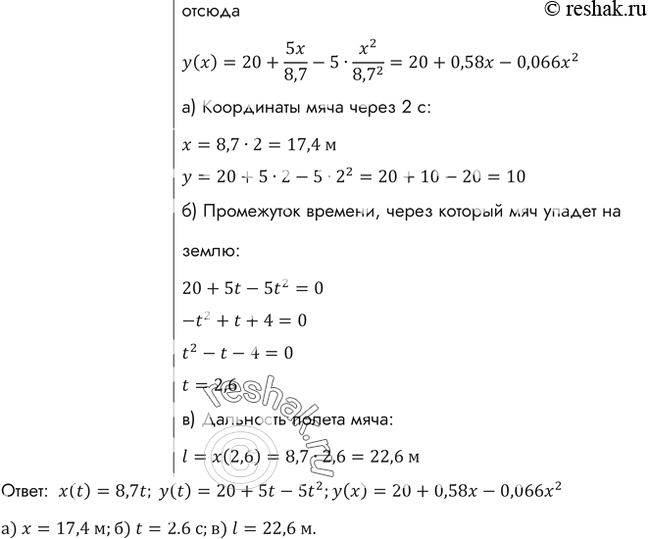
С балкона, расположенного на высоте 20 м, бросили вверх мяч под углом 30° от горизонта со скоростью 10 м/с. Направив ось X вдоль поверхности земли вправо, а ось У вдоль стены дома вверх, написать уравнения зависимости координат от времени х = x(t) и у = y(t) и уравнение траектории у = у(х). Найти: а) координаты мяча через 2 с; б) через какой промежуток времени мяч упадет на землю; в) дальность полета.
Популярные решебники 10-11 класс Все решебники
*К сожалению, временные проблемы с публикацией комментариев с мобильных устройств.