🔥ГДЗ под запретом?

Проверьте себя Пункт 40 ГДЗ Виленкин Жохов 6 класс Часть 2, Просвещение (Математика)

Решение #1 (Учебник 2023)

Изображение Проверочная работа. КоэффициентНайдите коэффициент выражения:1. Минус шесть «эм».2. Произведение пяти «ка» и девяти.3. Произведение «цэ» и «дэ».4. Минус...
Дополнительное изображение
Дополнительное изображение
Дополнительное изображение

Решение #2 (Учебник 2023)

Изображение Проверочная работа. КоэффициентНайдите коэффициент выражения:1. Минус шесть «эм».2. Произведение пяти «ка» и девяти.3. Произведение «цэ» и «дэ».4. Минус...

Решение #3 (Учебник 2021)

Изображение Проверочная работа. КоэффициентНайдите коэффициент выражения:1. Минус шесть «эм».2. Произведение пяти «ка» и девяти.3. Произведение «цэ» и «дэ».4. Минус...

Рассмотрим вариант решения задания из учебника Виленкин, Жохов, Чесноков 6 класс, Просвещение:
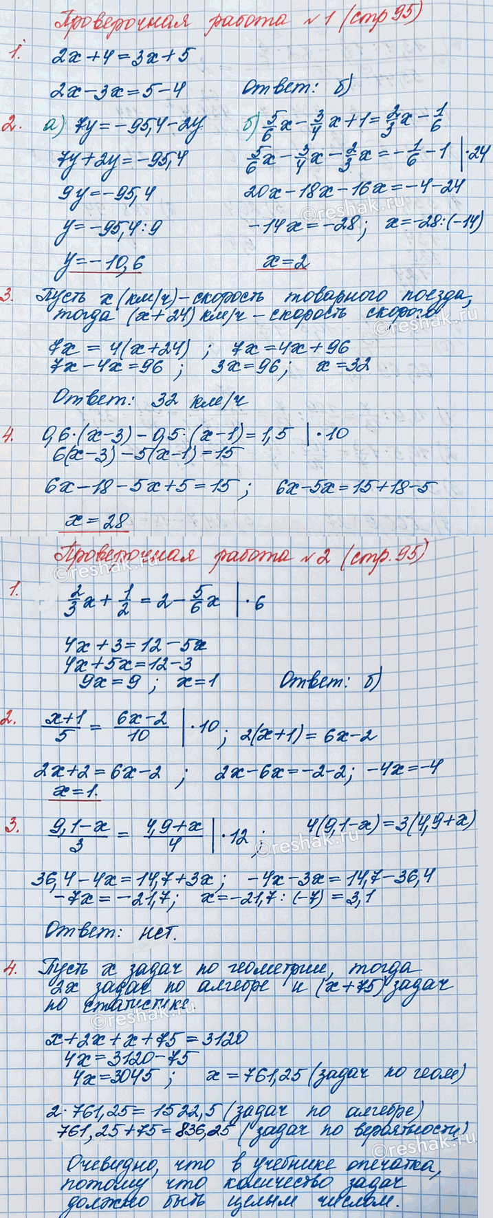
Проверочная работа № 1
1. Дано уравнение 2х + 4 = 2х + 5. Какое из уравнений имеет те же корни, что и данное:
а) 2х + 3х = 4 + 5; в) 2х - 3х = 5 + 4;
б) 2х - 3х = 5 - 4; г) 2х - 3х = 4 - 5?
2. Решите уравнение:
а) 7y = -95,4 - 2y; 6) 5/6 x - 3/4x + 1 = 2/3 x - 1/6.
3. Товарный поезд за 7 ч проходит такой же путь, как скорый поезд за 4 ч. Найдите скорость товарного поезда, если она меньше скорости скорого поезда на 24 км/ч.
4. Решите уравнение 0,6 · (x - 3) = 0,5 · (х - 1) = 1,5.
Проверочная работа № 2
1. Выберите верное решение уравнения:
а) 2/3 x + 1/2 = 2 - 5/6 x
4x + 1 = 12 - 5x
4x - 5x = 12 - 1
-x = 11
x = -11.
б) 2/3 x + 1/2 = 2 - 5/6 x
4x + 3 = 12 - 5x
4x + 5x = 12 - 3
9x = 9
x = 1.
в) 2/3 x + 1/2 = 2 - 5/6 x
4x + 3 = 12 - 5x
3 - 12 = -5x - 4x
9 = -9x
x = -1.
2. Найдите х из пропорции (x + 1)/5 = (6x - 2)/10.
3. Является ли х = -3,1 корнем уравнения
(9,1 - x)/3 = (4,9 + x)/4?
4. В задачнике по алгебре в 2 раза больше задач, чем в задачнике по геометрии, а в задачнике по вероятности и статистике на 75 задач больше, чем в задачнике по геометрии. Сколько задач в каждом сборнике, если во всех трёх сборниках 3120 задач?

Проверочная работа. Коэффициент
Найдите коэффициент выражения:
1. Минус шесть «эм».
2. Произведение пяти «ка» и девяти.
3. Произведение «цэ» и «дэ».
4. Минус «икс».
5. Произведение одной второй «игрек» и минус шести.
6. Произведение минус «эм» и «эн».
Верно ли высказывание (ответьте да или нет)?
7. Коэффициент выражения 2 · 3n равен двум.
8. Разность коэффициентов выражений 3x и 5х равна минус двум.

*Цитирирование задания со ссылкой на учебник производится исключительно в учебных целях для лучшего понимания разбора решения задания.
*К сожалению, временные проблемы с публикацией комментариев с мобильных устройств.