🔥ГДЗ под запретом?

Упр.5.132 ГДЗ Виленкин Жохов 6 класс Часть 2, Просвещение (Математика)

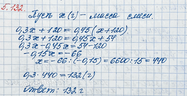
Решение #1 (Учебник 2023)

Изображение Для приготовления травяного чая смешали зверобой и душицу. Душица составила 30 % всей смеси. Если в эту смесь добавить ещё 120 г душицы, то она составит 45 % смеси....

Решение #2 (Учебник 2023)

Изображение Для приготовления травяного чая смешали зверобой и душицу. Душица составила 30 % всей смеси. Если в эту смесь добавить ещё 120 г душицы, то она составит 45 % смеси....
Дополнительное изображение

Решение #3 (Учебник 2023)

Изображение Для приготовления травяного чая смешали зверобой и душицу. Душица составила 30 % всей смеси. Если в эту смесь добавить ещё 120 г душицы, то она составит 45 % смеси....

Рассмотрим вариант решения задания из учебника Виленкин, Жохов, Чесноков 6 класс, Просвещение:
Для приготовления травяного чая смешали зверобой и душицу. Душица составила 30 % всей смеси. Если в эту смесь добавить ещё 120 г душицы, то она составит 45 % смеси. Сколько граммов душицы было в травяной смеси первоначально?
Процентом от некоторой величины называется одна сотая её часть, и обозначают один процент так: 1%.
Величина, от которой вычисляются проценты, составляет 100 своих сотых долей, то есть 100%.
Любое число процентов можно записать в виде десятичной дроби или натурального числа.
Для этого, необходимо число, стоящее перед знаком %, разделить на 100.
То есть 30%=30:100=0,30=0,3
45%=45:100=0,45 .
Решим данную задачу с помощью уравнения.
Примем за неизвестную x первоначальную массу душицы в смеси.
По условию сначала в смеси содержалось 30% душицы, то есть она составляет 0,3 массы смеси, а для того, чтобы найти число по данному значению его дроби, необходимо это значение разделить на дробь, то есть масса смеси равна:
x:0,3=x:3/10=x•10/3=1 1/3 x грамм.
Если добавить 120 г душицы, то масса душицы будет (x+120) грамм, а масса смеси (3 1/3 x+120) , при этом в смеси будет содержаться 45% душицы, то есть (x+120) составляет 0,45 от (3 1/3 x+120).
Известно, что, чтобы найти дробь от числа, необходимо умножить число на эту дробь, поэтому можно записать следующее уравнение:
(3 1/3 x+120)•0,45=x+120
Далее раскрываем скобки, воспользовавшись распределительным свойством умножения относительно сложения и выполняем умножение:
10/3•45/100 x+54=x+120
(10•3•3•5)/(3•10•2•5) x+54=x+120
1,5x+54=x+120
Известно, что корни уравнения не изменяются, если какое-нибудь слагаемое перенести из одной части уравнения в другую, изменив при этом его знак, то есть при переносе слагаемого из левой части в правую или наоборот, необходимо поменять его знак на противоположный.
Перенесём в левую часть уравнения все слагаемые, содержащие неизвестную, а в правую – не содержащие неизвестную, получим:
1,5x-x=120-54
0,5x=66
Неизвестен множитель x.
Для того, чтобы найти неизвестный множитель, необходимо произведение разделить на известный множитель, то есть x=66:0,5
x=660:5 или, выполнив деление, x=132.
Значит, первоначально в смеси было 132 г душицы.
Ответ: 132 г.

*Цитирирование задания со ссылкой на учебник производится исключительно в учебных целях для лучшего понимания разбора решения задания.
*К сожалению, временные проблемы с публикацией комментариев с мобильных устройств.