Упр.919 ГДЗ Мерзляк 8 класс (Алгебра)
Решение #1
Решение #2

Рассмотрим вариант решения задания из учебника Мерзляк, Полонская, Якир 8 класс, Вентана-Граф:
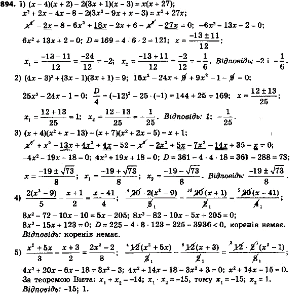
919. Решите уравнение:
1) (х - 4)(x + 2) - 2(3x + 1)(х - 3) = x(x + 27);
2) (4х - 3)2 + (3х - 1)(3x + 1) = 9;
3) (x + 4)(x2 + х - 13) - (x + 7)(x2 + 2x - 5) = x + 1;
4) 2(x2 - 9)/5 - (x + 1)/2 = (x - 41)/4;
5) (x2 + 5x)/3 - (x + 3)/2 = (2x2 - 2)/8.
Похожие решебники
Популярные решебники 8 класс Все решебники
*размещая тексты в комментариях ниже, вы автоматически соглашаетесь с пользовательским соглашением