Упр.877 ГДЗ Мерзляк 8 класс (Алгебра)
Решение #1
Решение #2

Рассмотрим вариант решения задания из учебника Мерзляк, Полонская, Якир 8 класс, Вентана-Граф:
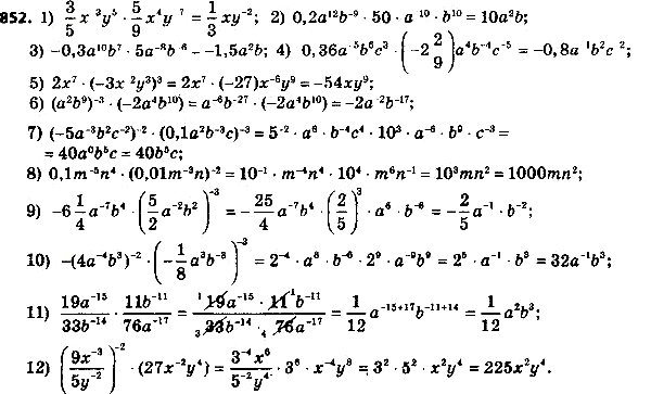
877. Упростите выражение:
1) 3/5 x^-3н5 * 5/9 x4y^-7;
2) 0,2а12b^-9 * 50а^-10b10;
3) -0,3a10b7 * 5а^-8b^-6;
4) 0,36a^-5b6c3 * ^ (-2 2/9)a4b^-4c^-5;
5) 2х7 * (-3x^-2 - у3)3;
6) (а2b9)^-3 * (-2а4b10);
Похожие решебники
Популярные решебники 8 класс Все решебники
*К сожалению, временные проблемы с публикацией комментариев с мобильных устройств.