Упр.875 ГДЗ Мерзляк Полонский 8 класс (Алгебра)
Решение #1 (Учебник 2025)
Решение #2 (Учебник 2019)

Рассмотрим вариант решения задания из учебника Мерзляк, Полонская, Якир 8 класс, Просвещение:
Верно ли утверждение:
1) если a > b, то a/b > 1;
2) если a > 1, то 2/a < 2;
3) если a < 1, то 2/a > 2;
4) если a/b > 1, то a > b;
5) если a^2 > 1, то a > 1?
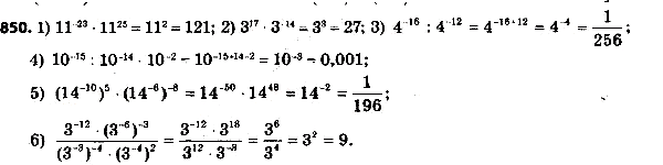
Найдите значение выражения:
1) 11^-23 * 11^25;
2) З^17 * 3^-14;
3) 4^-16 : 4^-12;
4) 10^-15 : 10^-14 * 10^-2;
5) (14^-10)3 * (14^-6)^-8;
6) 3^-12 * (3^-6)^-3 / ((3^-3)^-4 * (3^-4)2).
Похожие решебники
Популярные решебники 8 класс Все решебники
*К сожалению, временные проблемы с публикацией комментариев с мобильных устройств.