Упр.860 ГДЗ Мерзляк 8 класс (Алгебра)
Решение #1
Решение #2
Решение #3

Рассмотрим вариант решения задания из учебника Мерзляк, Полонская, Якир 8 класс, Вентана-Граф:
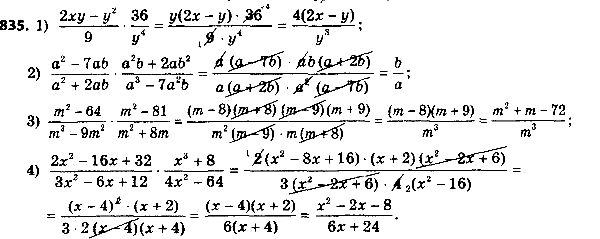
860. Выполните умножение:
1) (2xy-y2)/9 * 36/y4;
2) (a2-7ab)/(a2+2ab) * (a2b+2ab2)/(a3-7a2b);
Похожие решебники
Популярные решебники 8 класс Все решебники
*размещая тексты в комментариях ниже, вы автоматически соглашаетесь с пользовательским соглашением