Задание ЕГЭ 2 Параграф 85 ГДЗ Мякишев 10 класс (Физика)
Решение #1

Рассмотрим вариант решения задания из учебника Мякишев, Буховцев 10 класс, Просвещение:
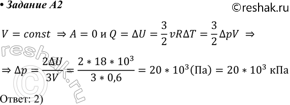
A2. Идеальный одноатомный газ находится в сосуде с жёсткими стенками объёмом 0,6 м3. При нагревании его внутренняя энергия увеличилась на 18 кДж. На сколько возросло давление газа?
1) 10 кПа
2) 20 кПа
3) 30 кПа
4) 40 кПа
Похожие решебники
Популярные решебники 10 класс Все решебники
*К сожалению, временные проблемы с публикацией комментариев с мобильных устройств.