Упр.8.63 ГДЗ Дорофеев Шарыгин 5 класс (Математика)
Решение #1

Рассмотрим вариант решения задания из учебника Дорофеев, Шарыгин, Суворова 5 класс, Просвещение:
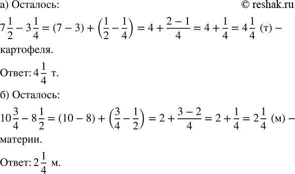
а) Из 7 1/2 т картофеля магазин продал 3 1/4 т. Сколько тонн картофеля осталось?
б) В куске было 10 3/4 м материи. На платья израсходовали 8 1/2 м. Сколько метров материи осталось в куске?
Популярные решебники 5 класс Все решебники
*К сожалению, временные проблемы с публикацией комментариев с мобильных устройств.