Упр.8.57 ГДЗ Дорофеев Шарыгин 5 класс (Математика)
Решение #1

Рассмотрим вариант решения задания из учебника Дорофеев, Шарыгин, Суворова 5 класс, Просвещение:
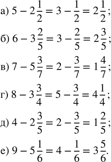
Выполните вычитание:
а) 5 - 2 1/2; в) 7 - 5 3/7; д) 4 - 2 3/5;
б) 6 - 3 2/5; г) 8 - 3 3/4; е) 9 - 5 1/6.
Популярные решебники 5 класс Все решебники
*К сожалению, временные проблемы с публикацией комментариев с мобильных устройств.