Упр.8.53 ГДЗ Дорофеев Шарыгин 5 класс (Математика)
Решение #1

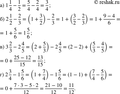
Рассмотрим вариант решения задания из учебника Дорофеев, Шарыгин, Суворова 5 класс, Просвещение:
Представьте смешанную дробь в виде неправильной дроби и найдите разность:
а) 1 1/4 - 1/2; б) 2 1/2 - 2/3; в) 3 2/3 - 2 4/5; г) 2 3/4 - 1 5/6.
Популярные решебники 5 класс Все решебники
*К сожалению, временные проблемы с публикацией комментариев с мобильных устройств.