Упр.8.47 ГДЗ Дорофеев Шарыгин 5 класс (Математика)
Решение #1

Рассмотрим вариант решения задания из учебника Дорофеев, Шарыгин, Суворова 5 класс, Просвещение:
Выполните сложение:
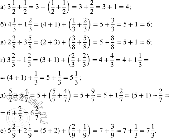
а) 3 1/2 + 1/2; в) 2 3/8 + 3 5/8; д) 5/7 + 5 4/7;
б) 4 1/3 + 1 2/3; г) 3 2/3 + 1 2/3; е) 5 2/9 + 2 1/9.
Популярные решебники 5 класс Все решебники
*К сожалению, временные проблемы с публикацией комментариев с мобильных устройств.