Упр.8.37 ГДЗ Дорофеев Суворова 7 класс (Алгебра)
Решение #1

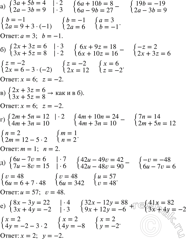
Рассмотрим вариант решения задания из учебника Дорофеев, Суворова, Бунимович 7 класс, Просвещение:
Разберите, как решена система уравнений, и примените этот прием для решения систем:
а) {3a + 5b = 4; 2a - 3b = 9;
б) {2x + 3z = 6; 3z + 5z = 8;
в) {2z + 3z = 6; 3z + 5z = 8;
г) {2m + 5n = 12; 4m + 3n = 10;
д) {6u - 7v = 6; 7u - 8v = 15;
е) {8x - 3y = 22; 3x + 4y = -2.
Популярные решебники 7 класс Все решебники
*размещая тексты в комментариях ниже, вы автоматически соглашаетесь с пользовательским соглашением