Упр.8.29 ГДЗ Дорофеев Суворова 7 класс (Алгебра)
Решение #1

Рассмотрим вариант решения задания из учебника Дорофеев, Суворова, Бунимович 7 класс, Просвещение:
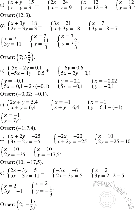
Решите систему уравнений:
а) {x + y = 15; x - y = 9;
б) {x + 3y = 18; 2x - 3y = 3;
в) {5x - 2y = 0,1; -5x - 4y = 0,5;
г) {2x + y = 5,4; x + y = 6,4;
д) {x + 2y = -25; 3x + 2y = -5;
е) {2x - 3y = 5; 5x - 3y = 11.
Популярные решебники 7 класс Все решебники
*размещая тексты в комментариях ниже, вы автоматически соглашаетесь с пользовательским соглашением