Упр.732 ГДЗ Колягин Ткачёва 11 класс (Алгебра)
Решение #1
Решение #2

Рассмотрим вариант решения задания из учебника Колягин, Ткачёва, Фёдорова 11 класс, Просвещение:
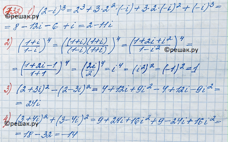
732 Вычислить:
1) (2-i)3;
2) (1+i/1-i)4;
3) (2+3i)2 - (2-3i)2;
4) (3+4i)2 + (3-4i)2.
Популярные решебники 11 класс Все решебники
*размещая тексты в комментариях ниже, вы автоматически соглашаетесь с пользовательским соглашением