Упр.731 ГДЗ Колягин Ткачёва 11 класс (Алгебра)
Решение #1
Решение #2

Рассмотрим вариант решения задания из учебника Колягин, Ткачёва, Фёдорова 11 класс, Просвещение:
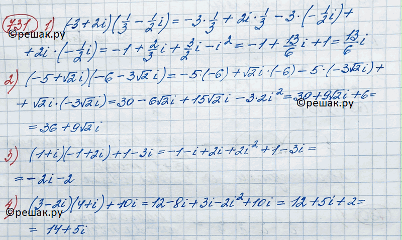
731. Выполнить действия:
1) (-3+2i)(1/3 - 1/2*i);
2) (-5 + корень 2i)(-6 - 3 корень 2i);
3) (1+i)(-1+2i) + 1-3i;
4) (3-2i)(4+i)+10i;
5) (3-i)(1+3i)/2-i;
6) 2-3i/(1-i)(3+i);
7) 3/2-3i + 3/2+3i;
8) 2-3i/2+i + 2+3i/2-i.
Популярные решебники 11 класс Все решебники
*размещая тексты в комментариях ниже, вы автоматически соглашаетесь с пользовательским соглашением