Упр.708 ГДЗ Мерзляк 8 класс (Алгебра)
Решение #1
Решение #2
Решение #3

Рассмотрим вариант решения задания из учебника Мерзляк, Полонская, Якир 8 класс, Вентана-Граф:
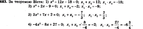
708. Не решая уравнение, найдите сумму и произведение его корней:
1) x2 + 12x - 18 = 0;
2) x2 + 2x - 9 = 0;
3) Зx2 + 7x + 2 = 0;
4) -4x2 - 8x + 27 = 0.
Похожие решебники
Популярные решебники 8 класс Все решебники
*размещая тексты в комментариях ниже, вы автоматически соглашаетесь с пользовательским соглашением