Упр.7.82 ГДЗ Дорофеев Суворова 7 класс (Алгебра)
Решение #1

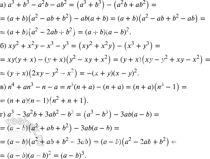
Рассмотрим вариант решения задания из учебника Дорофеев, Суворова, Бунимович 7 класс, Просвещение:
а) а3 + b3 - а2b - аb2;
б) ху2 + х2у - x3 - у3;
в) n4 + аn3 - n - а;
г) а3 - 3а2b + 3ab2 - b3.
Популярные решебники 7 класс Все решебники
*размещая тексты в комментариях ниже, вы автоматически соглашаетесь с пользовательским соглашением