Упр.7.77 ГДЗ Дорофеев Суворова 7 класс (Алгебра)
Решение #1

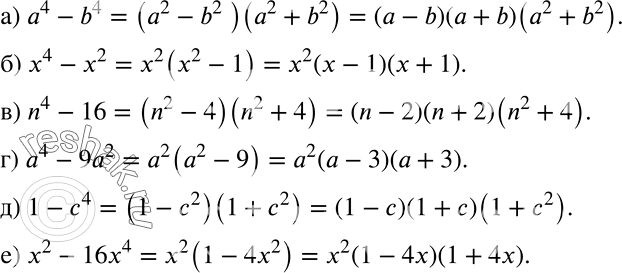
Рассмотрим вариант решения задания из учебника Дорофеев, Суворова, Бунимович 7 класс, Просвещение:
a) а4 - b4;
б) x4 - x2;
в) а4 - 16;
г) а4 - 9а2;
д) 1 - с4;
е) x2 - 16x4.
Популярные решебники 7 класс Все решебники
*размещая тексты в комментариях ниже, вы автоматически соглашаетесь с пользовательским соглашением