Упр.7.81 ГДЗ Дорофеев Суворова 7 класс (Алгебра)
Решение #1

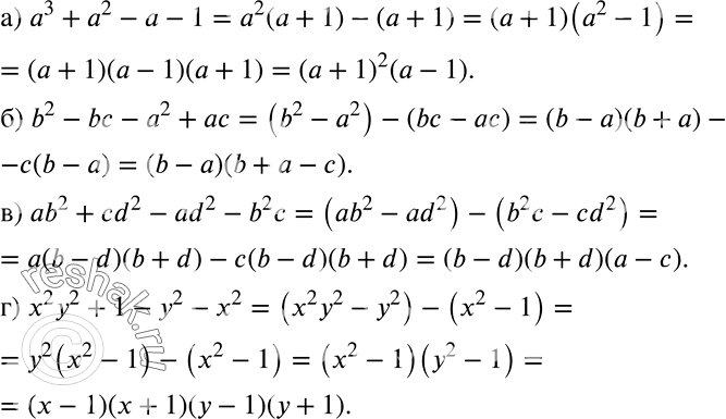
Рассмотрим вариант решения задания из учебника Дорофеев, Суворова, Бунимович 7 класс, Просвещение:
а) а3 + а2 - а - 1;
б) b2 - bс - а2 + ас;
в) ab2 + cd2 - ad2 - b2c;
г) х2у2 + 1 - у2 - х2.
Популярные решебники 7 класс Все решебники
*размещая тексты в комментариях ниже, вы автоматически соглашаетесь с пользовательским соглашением